顶部

又薄又柔的固态电解质,让全固态锂电池飞起来!

  • 2019-06-03 10:18
  • 来源:纳米人

摘要:锂离子电池是当今电池世界的霸主,随着对能量密度越来越高的要求,采用金属锂负极成为大势所趋,而金属锂负极进一步增加了电池安全风险。解决电池安全性能的重要任务,就这样落到了全固态锂电池的肩上。

锂离子电池是当今电池世界的霸主,随着对能量密度越来越高的要求,采用金属锂负极成为大势所趋,而金属锂负极进一步增加了电池安全风险。解决电池安全性能的重要任务,就这样落到了全固态锂电池的肩上。

为了获得与基于液体电解质的锂电池相当的能量密度,固体电解质需要具有高离子电导率、力学强度好、不可燃、化学稳定性等特性。然而,用于液体电解质的商业聚合物电解质隔板厚度仅有10 μm左右,如果采用如此薄的固体电解质势必会极大地增加电池短路的风险。

有鉴于此,斯坦福大学崔屹课题组设计了一种全新的不足10μm的超薄、柔性、聚合物复合固体电解质,可以确保全固态锂离子电池的安全性能。

又薄又柔的固态电解质,让全固态锂电池飞起来!

图1. 聚合物-聚合物 SPE设计

要点1:设计理念

复合固态电解质必须由坚固、不易燃的主体制成,采用具有垂直排列的纳米通道和锂离子导电SPE填料。高模量主体防止枝晶渗透,而对齐的通道增强SPE填料的离子导电性。复合电解质的超薄和聚合物-聚合物性能使得全电池具有极大的柔韧性,低电解质电阻和潜在的高能量密度。研究团队采用高模量的纳米多孔聚酰亚胺(PI)主体和PEO /锂双(三氟甲磺酰基)酰亚胺(LiTFSI)聚合物电解质进行概念验证,这种PI / PEO / LiTFSI固体电解质中,超薄多孔PI基质厚度仅8.6 μm。

又薄又柔的固态电解质,让全固态锂电池飞起来!

图2. PEO/LiTFSI表征

要点2:优异性能

虽然商业锂离子电池的理论能量密度接近480 Wh kg-1,但是当在计算中考虑金属壳体,正负极集流器时,理论值减少一半。如果进一步考虑隔板和液体电解质时,能量密度理论值还要进一步降低。然而,当使用PI / PEO / LiTFSI电解质(246 Wh kg-1)时,全固态电池的能量密度与液体电解质电池的能量密度相当,并且远高于其他的电解质电池。

全固态电池中超薄超轻的PI / PEO / LiTFSI(1.12 mg cm-2)具有与隔膜/液体电解质(1 mg cm-2)相似的面积密度,确保其优于其他固体电解质系统。由于全固态LIB的电池外壳可能比液体电解质LIB更简单,所以固体聚合物-聚合物复合材料LIB的能量密度可能会更高。进一步,通过高容量锂化学,例如硫和金属锂,可以实现更高的能量密度。

又薄又柔的固态电解质,让全固态锂电池飞起来!

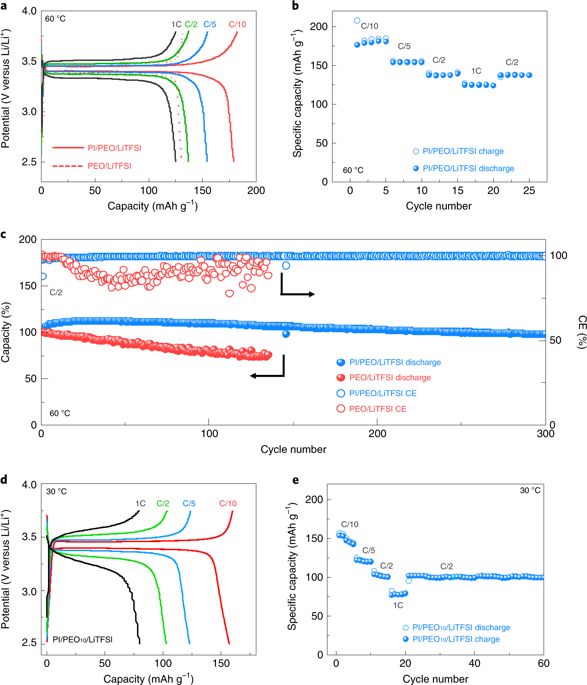
图3. 全电池性能

由于PI膜不易燃,力学强度高,即使经过1000多小时的循环,也可持续防止电池短路,保证安全性。垂直通道可提高注入的离子电导率(30°C时为2.3×10-4 S cm-1),基于PI / PEO / LiTFSI固体电解质制造的全固态锂离子电池在60°C时具有良好的循环性能(C / 2速率下200次循环),并可承受弯曲,切割和钉子穿透等测试。

 

又薄又柔的固态电解质,让全固态锂电池飞起来!

图4. PI/PEO/LiTFSI力学测试和耐火测试

又薄又柔的固态电解质,让全固态锂电池飞起来!

图5. PI/PEO/LiTFSI滥用测试

小 结

总之,这项研究设计了一种超薄、柔性、安全的聚合物复合固体电解质,为发展更安全、更高效的全固态锂离子电池起到重要推动和良好的借鉴。

参考文献:

JiayuWan, Jin Xie, Yi Cui et al. Ultrathin, flexible, solid polymer compositeelectrolyte enabled with aligned nanoporous host for lithium batteries. NatureNanotechnology 2019.

网友评论

还可以输入 500

德国大学研发铂纳米颗粒 是目前催化剂性能两倍

德国慕尼黑工业大学的一个跨学科研究小组制造出了用于燃料电池催化过程的铂纳米颗粒,该新型催化剂的尺寸得到了优化,与目前已实现工业化的最佳工艺制成的铂颗粒相比,其性能增加了一倍。
关键字: 催化剂 动力电池
2019-07-24

韩国研究人员研发新材料 用于电动汽车的全固态电池

据外媒报道,韩国研究人员研发出一种技术,可以制成用于电动汽车的全固态二次电池。
2019-07-10

新型锂金属电池问世 快速充电不是梦

据外媒报道,韩国首尔汉阳大学(Hanyang University)的研究人员,研发一种锂金属电池(LMB),具体来说是Li/NCM电池。
2019-07-05

美科学家研发有机阴极材料 可实现高能量密度锂电池

科学家们一直在研究如何优化阴极材料,以提升锂电池系统的整体性能。
关键字: 阴极材料 锂电池
2019-06-25

伊利诺伊大学研究出首款用于锂离子电池的3-D印刷电解液

伊利诺伊大学芝加哥工程学院的研究人员使用高温挤压印刷技术印刷了稳定而柔韧的固态电解质。
关键字: 3D印刷 电解液
2019-06-13
电车资源2025年活动排期
相关车型
  • 周排行
  • 月排行
关闭
东风俊风纯电动物流车秒杀